产业链

您当前的位置:

潍坊恒基磁电机械有限公司.>RBCYD隔爆型永磁自卸式除铁器

潍坊恒基磁电机械有限公司.

高级会员第11年
所在地区:山东
认证信息:商安信认证
RBCYD隔爆型永磁自卸式除铁器
磁选设备-RBCYD隔爆型永磁自卸式除铁器
价  格面议
  • 产地
    山东潍坊
    关注度
    1672
  • 信息完整度
索取资料及报价
产品简介

RBCYD隔爆型永磁自卸式除铁器适用于爆炸性气体的场所,配合输送带使用,除去混杂在非磁性物料中的磁性铁质,配套矿用隔爆型电控柜使用可实现连续不断的吸、弃铁。主要应用于各大煤炭企业煤矿井下或矿山、钢铁、化工、电力等其他易燃易爆行业场合或输煤系统中。全系列型号整机已取得国家安全生产抚顺矿用设备检测检验中心颁发的防爆合格证和安标国家矿用产品安全标志中心颁发的MA矿用产品安全标志证书。

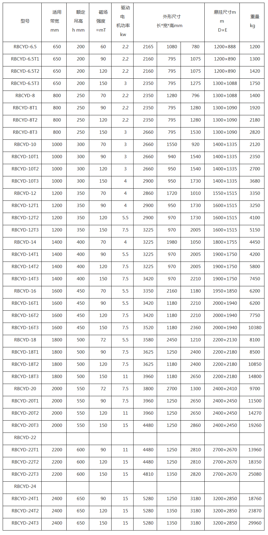
技术参数

46f88d7e-3aa8-432d-a8f4-e1955e9281f1.png